920685
前景提要
此前已有文章对流体流动状态做了简单阐述,明确了流体物性及管道阻力会对换热流体(无论是冷流体还是热流体)产生一定的流动影响。有同学肯定不禁想问:我是想要给物料降温(或者加热),跟我的物料怎么流动有什么关系呢?
今天我们来聊一聊热交换 。
热交换的方式有三种:热传导、热对流 和热辐射。
简单讲,热传导就是冬天手摸铁棒,随着时间增长,冷的铁棒也逐渐热起来了,跟人手的温度逐渐一致,并且在手摸的区域附近逐渐向两端都热起来了;
热对流就是把冷水和热水倒在一起搅一搅,变成一杯温度上下都一样的水;热辐射就是晒太阳,人既没有接触太阳,也没有和太阳变成一体,但是我们可能感受到太阳的热。
由此可见,热传导需要两者接触但不混合,热对流需要两者接触并混合,热辐射不需要两者接触及混合。
逆流间壁式换热
在实验过程中,往往需要冷热介质进行热交换进行降温(或者加热),而冷、热两种物流之间并非相互接触,两者之间有金属或玻璃或其他材质的间壁做分隔。因此,在上述过程中,冷、热流体各自内部存在热对流,冷流体、间壁、热流体三者两两接触的区域则为热传导,整个过程中没有热辐射。要想冷、热流体内部的温度能够快速达到一致,那么必然要加大热对流的效率。而加强热对流最好的方式是加强流体内的湍动能,即让流体处于湍流状态或有外力促使流体返混(例如搅拌)。
常见的两相流体的间壁式换热模式下,往往有两相同方向流动的顺流换热、两相成十字状错位流动的错流换热和两相相反方向流动的逆流换热。上述三种换热模式下,逆流换热 的效率最高。
如图1所示为一个常见的逆流间壁式换热的示意图:

怎么知道能量有多高呢?
在实际过程中,往往需要知道实际需要提供(或被移走)的能量有多高,基于该侧的物料状态以及反应热参数或热源参数,我们可以获得总热量,若不考虑反应吸放热及内热源的情况下,那么可以根据物料所需升温(或者降温)的初始温度和最终温度以及物料物性,我们可以用以下公式计算得到热量:

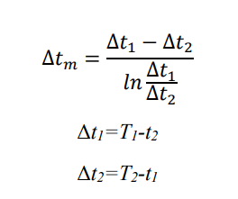
其中,q:热量,J;c:物料的比热,J/(kg·K);m:物料质量,kg;Δt:温差,即Δt=t2-t1,°C或K。
将总换热量除以预期的升降温时间即可获得热功率,若为换热器内的连续换热过程,物料质量应为质量流速,及kg/s,因此获得的热量q即为换热功率。对于间壁式换热,在计算换热过程中需要考虑实际换热过程的换热面积以及传热系数,因此可以以下公式计算相关参数。

其中,Q:总换热功率,W;K:总传热系数,W/(m2·K);A:换热面积,m2;Δtm:温差,°C或K。

换热面积A随着设备制造完成,就已经确定,可以认为是定值;总传热系数K受到换热间壁材质、尺寸及壁面两侧污垢、壁面两侧流体形态的影响,当两侧流体流速等确定的情况下,K也可以认为定值;由此可见,通过流体的入口温度,拉大两侧温度的温差,即可实现更大的换热量,因此可认为 温差 是换热过程的最大驱动力也是唯一驱动力。
总传热系数K如何获得呢?
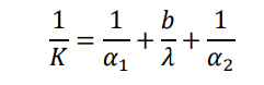
大家肯定会好奇总传热系数K是如何获得的,那么就来具体看一看:

其中,K:总传热系数,W/(m2·K);α1:外侧流体对流传热系数,W/(m2·K);α2:内侧流体对流传热系数,W/(m2·K);λ:间壁热导率,W/(m2·K);b:壁厚,m。
由此可见,总传热系数收到两侧流体的对流传热系数、间壁热导率和壁厚的共同影响。间壁热导率相对固定,如下表所示有一部分常见材料的热导率:

从上表可以看到,金属材料的热导率明显优于非金属材料,而像泡沫之类的材料热导率极差,那么这么差的热导率,它可以用来做什么呢?答案是保温。也就是说热导率高,我们可以用来作为导热元器件,热导率低,我们可以作为保温材料。
对流传热系数怎么获得?
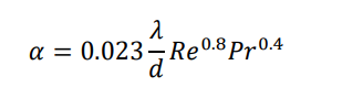
热导率是材质物性,那么对流传热系数又要如何获得呢?对流传热系数可以通过以下方法获得:


其中:λ:流体热导率,W/(m·K);d:流体流通的管径,m;u:流速,m/s;ρ:流体密度,kg/m3;μ:流体粘度,Pa·s;cp:流体定压热容,J/(kg·K)。
综上可见,流体的对流传热系数与流体动力学直接相关,需要谨慎选择合适的冷却介质。
通过上面冗长的分析,已经可以核算如何选择一个合适的恒温槽以及如何选择一个合适的热交换设备。
END
ylzzcom永利总站线路检测具有完善的 恒温水浴产品 家族,满足各种尺寸的各种热交换设备需求,实现从小试到中试到生产的全周期产品供应。全新的 DMC、HMC和DHC工艺流程控温系列,强大的循环能力,充沛的加热、制冷供给,满足中试及生产规模大型搅拌釜、发酵罐、换热器等控温需求。


上一篇: 溶出实验需要关注的细节
下一篇: 影响实验的不是速度,而是离心力
24小时服务热线 18106650612